Polyurethane dùng trong y sinh – Chất chống oxy hóa (phần 2)

Tài liệu cao su nhựa PU được trích từ trang web của Phòng thử nghiệm cao su vLAB

Xem phần 1 tại đây

Quá trình oxy hóa PU có thể diễn ra bởi các tác động khác nhau: nhiệt, ánh sáng mặt trời và tia gamma. Bài viết này phân tích ảnh hưởng của từng yếu tố đối với quá trình oxy hóa PU.

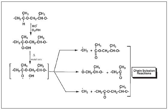
Đầu tiên là quá trình oxy hóa nhiệt. Nhìn chung, đoạn cứng của PU chứa các đơn vị urethane ổn định với sự oxy hóa nhiệt rất tốt, trong đó các isocyanate thơm tạo nên sự ổn định tốt hơn các isocyanate no. Trong khi đó, đoạn mềm chứa các diol loại polyether rất dễ bị phân hủy nhiệt. Sự oxy hóa nhiệt diễn ra theo cơ chế chuỗi gốc tự do, với sự tạo thành hydroperoxide từ đoạn polyether, sau đó phân hủy nhiệt hydroperoxide dẫn đến sự hình thành của các sản phẩm bị cắt mạch ở những vị trí khác nhau, làm giảm khối lượng mol phân tử polymer đi kèm với các tính chất cơ học. Cơ chế của quá trình được minh họa bằng hình vẽ bên dưới.




Ngoài ra, sự oxy hóa PU có thể được khơi màu bằng quang hóa. Quá trình oxy hóa quang hóa cũng xảy ra theo cơ chế gốc tự do. Cả phần no và phần béo của cấu trúc PU rất nhạy với sự tấn công của gốc tự do. Ví dụ, PU loại MDI oxy hóa quang hóa hình thành các hydroperoxide, chúng phân hủy tạo thành quinone loại imide liên hợp là các hợp chất có khả năng tạo màu cao do chúng có khả năng hấp thu ánh sáng có bước sóng trong vùng khả kiến.



Trong khi đó, các PU loại isocyanate no có khả năng tạo màu ít hơn. Giống như sự oxy hóa nhiệt, các diol loại polyether ít ổn định với sự oxy hóa quang hóa so với các diol loại polyester. Sự oxy hóa vật liệu PU cũng xảy ra do các tia bức xạ năng lượng cao, như tia gamma, đặc biệt trong quá trình tiệt trùng các vật dụng dùng trong y khoa. Quá trình cũng xảy ra theo cơ chế gốc tự do.

Vì vậy, thông thường sử dụng một hỗn hợp các chất chống oxy hóa: các chất làm mất gốc tự do (các hợp chất phenol hoặc amine bị cản trở không gian), các chất hấp thu tia UV (benzotriazole và hydroxylbenzophenone) để tạo nên sự chống oxy hóa hiệu quả. Khi sử dụng các chất chống oxy hóa dùng trong y sinh cũng phải chú ý đến các tính chất vật lý của chúng như tính tan trong polymer, sự di trú ra bề mặt của vật liệu. Ngoài ra, cần chú ý thêm tính độc hại của các chất chống oxy hóa này, khi được dùng một mình cũng như được dùng với các phụ gia khác trong thành phần của PU.

Tham khảo từ tài liệu Biomedical Applications of Polyurethanes, Patrick Vermette, Hans J. Griesser, Gaétan Laroche and Robert Guidoin, Landes Bioscience, 2001, trang 58 - 61

(vtp-vlab-caosuviet)
Tag: pu, chất chống oxy hóa

Hình ảnh sản phẩm cao su nhựa PU trong ngành in bao bì